ADICIÓN a las Disposiciones de carácter general sobre el registro de la contabilidad, elaboración y presentación de estados financieros a las que deberán sujetarse los participantes en los Sistemas de Ahorro para el Retiro

Jueves 25 de Junio de 2020

Al margen un sello con el Escudo Nacional, que dice: Estados Unidos Mexicanos.- HACIENDA.- Secretaría de Hacienda y Crédito Público.- Comisión Nacional del Sistema de Ahorro para el Retiro.

ADICIÓN A LAS DISPOSICIONES DE CARÁCTER GENERAL SOBRE EL REGISTRO DE LA CONTABILIDAD, ELABORACIÓN Y PRESENTACIÓN DE ESTADOS FINANCIEROS A LAS QUE DEBERÁN SUJETARSE  LOS PARTICIPANTES EN LOS SISTEMAS DE AHORRO PARA EL RETIRO

El Presidente de la Comisión Nacional del Sistema de Ahorro para el Retiro, con fundamento en lo previsto en los artículos 1o., 2o., 5o. fracciones I, II, III, VII, XIII bis y XVI, 12 fracciones I, VI, VIII y XVI, 18, 84, 85, 86, 87 y 88 de la Ley de los Sistemas de Ahorro para el Retiro; 1o., 106, 107 y 108 del Reglamento de la Ley de los Sistemas de Ahorro para el Retiro; 1, 2 fracción III y 8o. primer párrafo del Reglamento Interior de la Comisión Nacional del Sistema de Ahorro para el Retiro, y

CONSIDERANDO

Que en términos de los artículos 84 y 85 de la Ley de los Sistemas de Ahorro para el Retiro, la contabilidad de las Administradoras de Fondos para el Retiro, Sociedades de Inversión Especializadas de Fondos para el Retiro y Empresas Operadoras de la Base de Datos Nacional SAR, deberá sujetarse a lo previsto en dicha ley, así como en su reglamento y en las disposiciones de carácter general que para tal efecto expida esta Comisión, y

Que con el objeto atender a lo que establece el artículo 21 de las Disposiciones de carácter general sobre el registro de la contabilidad, elaboración y presentación de estados financieros a las que deberán sujetarse los participantes en los sistemas de ahorro para el retiro, es necesario dar a conocer la metodología para el cálculo del resarcimiento a los trabajadores afectados por las variaciones en el precio de la acción, mismo que ha venido operando según las Disposiciones que antecedieron a la hoy vigente, ha tenido a bien expedir la siguiente:

ADICIÓN A LAS DISPOSICIONES DE CARÁCTER GENERAL SOBRE EL REGISTRO DE LA CONTABILIDAD, ELABORACIÓN Y PRESENTACIÓN DE ESTADOS FINANCIEROS A LAS QUE DEBERÁN SUJETARSE LOS PARTICIPANTES EN LOS SISTEMAS DE AHORRO PARA EL RETIRO

UNICO.- Se ADICIONA el Anexo O de las Disposiciones de carácter general sobre el registro de la contabilidad, elaboración y presentación de estados financieros a las que deberán sujetarse los participantes en los sistemas de ahorro para el retiro, publicadas en el Diario Oficial de la Federación el 23 de octubre de 2019, para quedar en los siguientes términos:

ANEXO O

DETERMINACIÓN DEL RESARCIMIENTO

Para el cálculo del resarcimiento a los trabajadores afectados por las variaciones en el precio de la acción conforme a lo dispuesto en el artículo 21 de las presentes disposiciones de carácter general la Administradora que opere a la Sociedad de Inversión de que se trate, deberá computar dicho monto considerando lo siguiente:

I.        Si el precio de la acción corregido fue menor y la Sociedad de Inversión realizó la venta de acciones representativas de capital, la Administradora deberá resarcir a los trabajadores afectados con el equivalente de acciones que le correspondan con la corrección del precio de la acción. La fórmula siguiente muestra algebraicamente la mecánica anterior:

Fórmula 1.- Cálculo del Resarcimiento por sobrevaluación

Donde:

R: Monto del Resarcimiento por trabajador

P0: Precio Inicial de la acción

P1: Precio corregido de la acción

N: Número de acciones vendidas al trabajador

II.       Si el precio de la acción corregido fue mayor y la Sociedad de Inversión realizó compra de acciones representativas del capital de la misma Sociedad, la Administradora deberá resarcir a los trabajadores afectados con el importe que resulte de multiplicar el diferencial de precios por el número de acciones compradas al trabajador. La fórmula siguiente muestra algebraicamente la mecánica anterior:

Fórmula 2.- Cálculo del resarcimiento por subvaluación

Donde:

R: Monto del Resarcimiento por trabajador

P0: Precio Inicial de la acción

P1: Precio corregido de la acción

N: Número de acciones compradas al trabajador

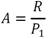
III.     Resarcimiento

Fórmula 3.- Cálculo del número de acciones correspondientes al trabajador

Donde:

A: Número de acciones pagadas al trabajador por el resarcimiento

R: Monto del Resarcimiento por trabajador

P1: Precio corregido de la acción

TRANSITORIOS

ARTICULO PRIMERO.- La presente Adición a las Disposiciones de carácter general sobre el registro de la contabilidad, elaboración y presentación de estados financieros a las que deberán sujetarse los participantes en los sistemas de ahorro para el retiro, entrarán en vigor al día hábil siguiente de su publicación en el Diario Oficial de la Federación.

ARTÍCULO SEGUNDO.- Con la entrada en vigor de las presentes Adiciones a Disposiciones de carácter general sobre el registro de la contabilidad, elaboración y presentación de estados financieros a las que deberán sujetarse los participantes en los sistemas de ahorro para el retiro, se derogan todas aquellas disposiciones y demás actos que sean contrarios al presente ordenamiento.

Ciudad de México, 18 de junio de 2020.- El Presidente de la Comisión Nacional del Sistema de Ahorro para el Retiro, Abraham E. Vela Dib.- Rúbrica.